reaction rate worksheet

Rates Of Reaction Worksheet - Worksheet List. 18 Pics about Rates Of Reaction Worksheet - Worksheet List : Rate of Reaction f5(Worksheet) | Reaction Rate | Chemical Reactions, Rates Of Reaction Worksheet - Worksheet List and also Rates of reaction worksheet - lower ability | Teaching Resources.

Rates Of Reaction Worksheet - Worksheet List

Rates Of Reaction Worksheet - Worksheet List nofisunthi.blogspot.com

rates graphing calculating

RATE OF REACTION WORKSHEET WITH ANSWER | Teaching Resources

RATE OF REACTION WORKSHEET WITH ANSWER | Teaching Resources www.tes.com

worksheet reaction rate answer docx mb

RATE OF REACTION WORKSHEET WITH ANSWER | Teaching Resources

RATE OF REACTION WORKSHEET WITH ANSWER | Teaching Resources www.tes.com

worksheet reaction rate answer tes resources docx kb

Reaction Rates - Assignment 1.4 Worksheet | Teaching Resources

Reaction Rates - Assignment 1.4 Worksheet | Teaching Resources www.tes.com

worksheet reaction assignment rates

AP Chemistry Kinetics Sample Problems – Rate Laws

AP Chemistry Kinetics Sample Problems – Rate Laws studylib.net

kinetics

PPT - SCH4U Unit #1: Energy Changes & Rates Of Reactions (Cont’d

PPT - SCH4U Unit #1: Energy Changes & Rates of Reactions (Cont’d www.slideserve.com

rate units unit constant rates energy sch4u cont reactions changes read ppt powerpoint presentation

Rates Of Reaction Worksheet - Lower Ability | Teaching Resources

Rates of reaction worksheet - lower ability | Teaching Resources www.tes.com

reaction worksheet rates tes ability lower resource resources

Ms J's Chemistry Class: Endo And Exo

Ms J's Chemistry Class: Endo and Exo msjschemclass.blogspot.com

exothermic endothermic reaction reactions diagram vs worksheet energy chemical endo equilibrium chemistry exo rates science answers potential activation diagrams heat

Hydrogen Peroxide Decomposition Percent Yield Calculation - YouTube

Hydrogen Peroxide Decomposition Percent Yield Calculation - YouTube www.youtube.com

yield percent peroxide hydrogen decomposition calculation

How BIG Is My Problem By The Practical Planner | TpT

How BIG is My Problem by The Practical Planner | TpT www.teacherspayteachers.com

problem reaction social regulation zones thinking match superflex activities rate skills does visual solving self emotional problems chart classroom printable

RATES OF REACTION WORKSHEET 5 WITH ANSWERS | Teaching Resources

RATES OF REACTION WORKSHEET 5 WITH ANSWERS | Teaching Resources www.tes.com

worksheet reaction rates answers resources docx kb

Factors Affecting Reaction Rates Worksheet 1 | Reaction Rate | Chemical

factors affecting reaction rates worksheet 1 | Reaction Rate | Chemical www.scribd.com

reaction affecting worksheet spreadsheet

14 Best Images Of Chemical Reactions Worksheet - Types Chemical

14 Best Images of Chemical Reactions Worksheet - Types Chemical www.worksheeto.com

worksheet chemical types reaction reactions worksheets answers answer balancing key equations identifying classifying worksheeto via

Reaction Rates Worksheet Answers - Free Worksheet Template

Reaction Rates Worksheet Answers - Free Worksheet Template kikikocht.blogspot.com

acids handouts chem homeschooldressage titration

Nuclear-Fission-Worksheet

Nuclear-Fission-Worksheet studylib.net

fission

Size Of My Problem Poster | Social Thinking, School Social Work, Social

Size of my Problem Poster | Social thinking, School social work, Social www.pinterest.com

problem social reaction poster thinking emotional skills emotions activities counseling coping

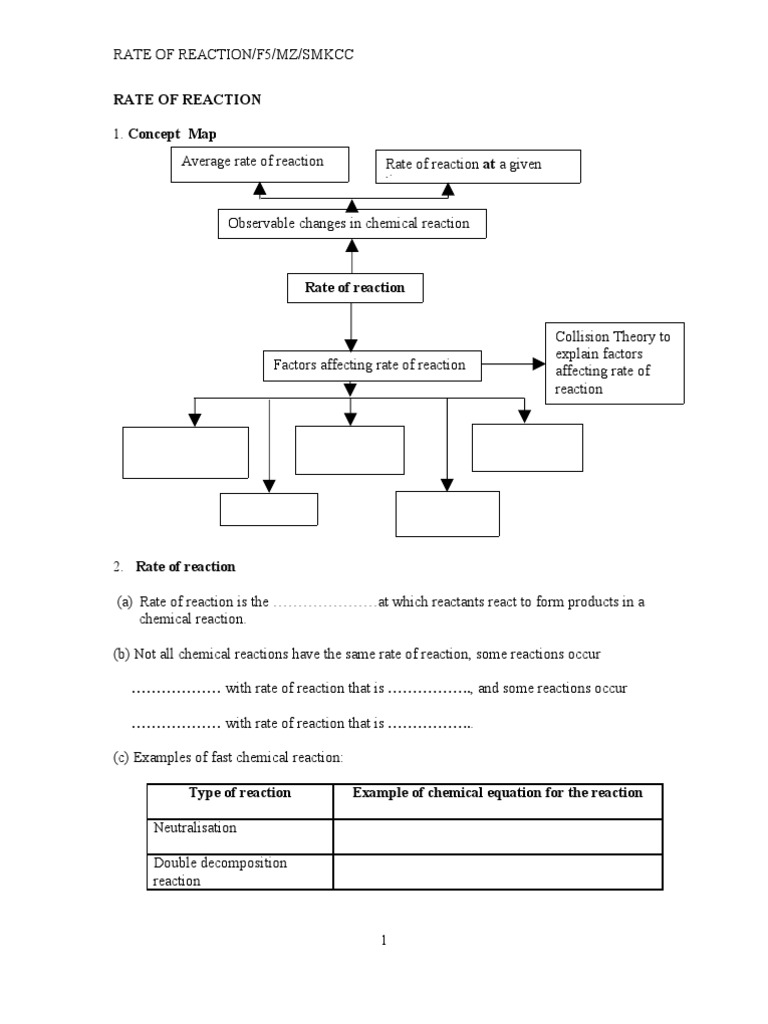
Rate Of Reaction F5(Worksheet) | Reaction Rate | Chemical Reactions

Rate of Reaction f5(Worksheet) | Reaction Rate | Chemical Reactions www.scribd.com

34 Rates Of Reaction Worksheet - Worksheet Resource Plans

34 Rates Of Reaction Worksheet - Worksheet Resource Plans starless-suite.blogspot.com

reaction worksheet rates chemistry quiz higher ed

Size of my problem poster. Reaction rates. Acids handouts chem homeschooldressage titration